Product Lines:
5 件のアイテム
非加水分解性
製品コード: DMS-SM21
CAS No: 308072-58-4
サプライヤ: Gelest
MERCAPTOPROPYL TERMINATED POLYDIMETHYLSILOXANE, 80-120 cSt
製品コード: SMS-042
CAS No: 102783-03-9
[4-6% (MERCAPTOPROPYL)METHYLSILOXANE] - DIMETHYLSILOXANE COPOLYMER, 120-170 cSt
製品コード: SMS-142
[13-17% (MERCAPTOPROPYL)METHYLSILOXANE] - DIMETHYLSILOXANE COPOLYMER, 100-200 cSt
製品コード: SMS-992
CAS No: 778577-34-7
(MERCAPTOPROPYL)METHYLSILOXANE HOMOPOLYMER, 75-150 cSt
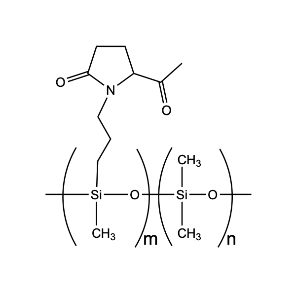
その他-シリコーン
製品コード: YBD-125
CAS No: 179005-03-9
(N-PYRROLIDONEPROPYL)METHYLSILOXANE - DIMETHYLSILOXANE COPOLYMER, 400-600 cSt